网站首页
关于我们
学校简介
校园环境
培训现场
教师风采
服务项目
成人学历教育
特种设备类
职业技能类
企业内训类
公益乐学类
街道及社区、企业工会系列类
政策解读
招生资讯
学校新闻
通知公告
下载中心
报名中心
联系我们
通知公告
返回上一级>>
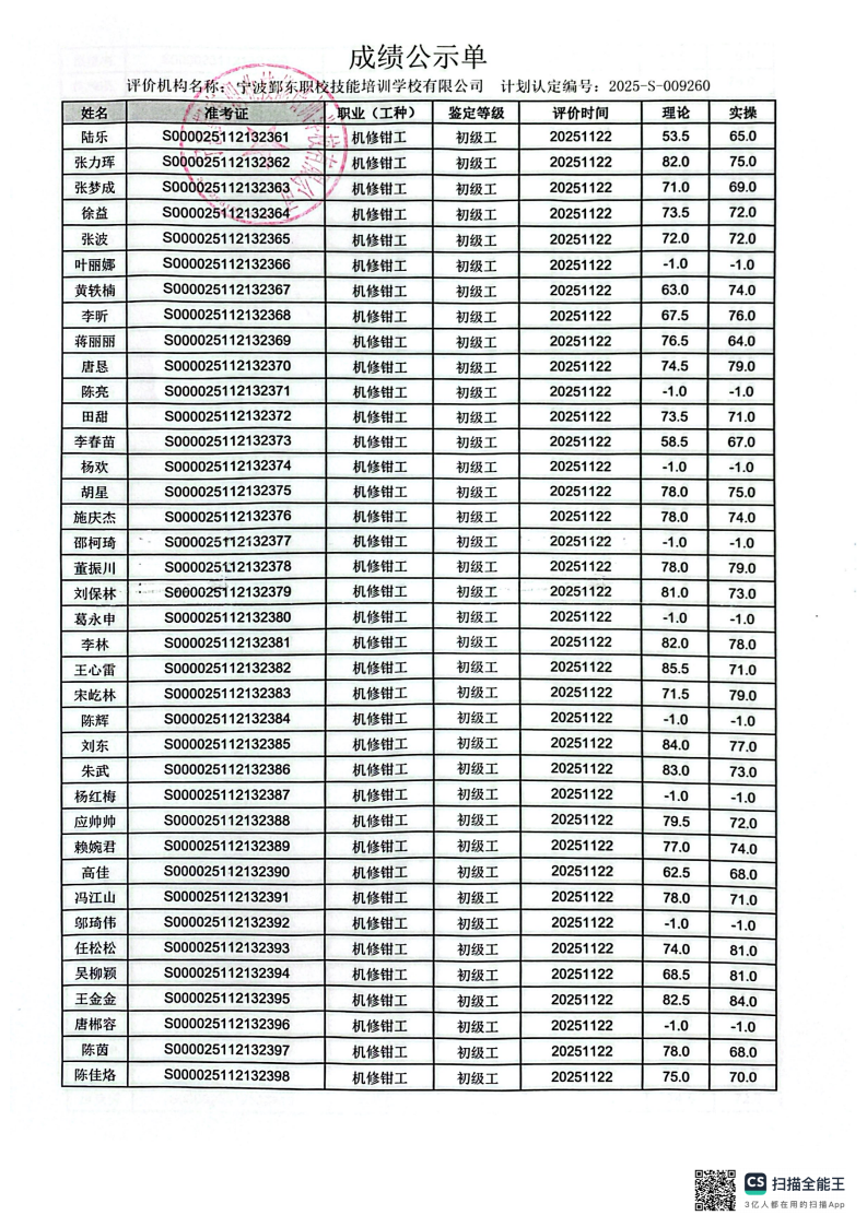
11月22日职业技能等级认定机修钳工初级成绩公示
2025-11-27
上一个:11月22日职业技能等级认定机修钳工高级成绩公示
服务项目
友情链接
国家职业资格证书查询
|
宁波市人社局
|
北仑区人社局
|
镇海区人社局
|
宁波市鉴定工作网
|
考试酷
|
宁波市专技人才网
|
国家安监局
|
特种作业操作证及安全生产知识和管理能力考核合格信息查询平台
|